Berita baik untuk bakal jemaah haji! Musim baru bagi Kursus Haji Siri 2025/2026 kini kembali dan akan dijalankan di seluruh Malaysia. Kursus ini dijalankan untuk memberikan persediaan awal yang secukupnya bagi bakal-bakal haji.
Untuk makluman, Kursus Haji yang dianjurkan oleh Lembaga Tabung Haji (TH) dibahagikan kepada empat peringkat. Ianya terdiri daripada Kursus Asas Haji (KAH), Kursus Intensif Haji (KIH), Kursus Khas Haji (KKH) dan Kursus Perdana Haji (KPH).
Daripada keempat-empat kursus ini, KAH merupakan peringkat pertama yang akan diikuti oleh bakal-bakal jemaah haji. Kemudian diikuti dengan Kursus Intensif, Kursus Khas dan akhirnya Kursus Perdana sebelum berangkat ke Tanah Haram bagi menunaikan Ibadah Haji.
Kursus Asas Haji (KAH) Di Malaysia
Kursus Asas Haji (KAH) ialah peringkat pertama dalam siri latihan haji yang disediakan untuk bakal jemaah haji. Ianya dijalankan setiap hujung minggu iaitu selama 2 jam 30 minit.
Sebanyak 13 siri akan berlangsung dimana biasanya bermula dari bulan Rabi’ul Akhir hingga Jamadil Akhir setiap tahun.
Pelaksanaan KAH dibuat di masjid-masjid terpilih di seluruh negara dengan kerjasama Jabatan Agama Islam Negeri serta jawatankuasa masjid tempatan.
Melalui program ini, peserta akan didedahkan kepada ilmu asas berkaitan ibadah haji. Antara yang akan anda pelajari seperti rukun dan wajib haji, persediaan kesihatan, serta pengurusan perjalanan haji ke Tanah Suci.
KAH bukan hanya untuk mereka yang telah menerima panggilan haji bagi tahun semasa. Kursus ini terbuka kepada semua umat Islam yang ingin memahami dan mendalami pengetahuan tentang ibadah haji dan umrah.
Penyertaan adalah percuma, dan mereka yang berminat hanya perlu mendaftar di masjid yang menjadi lokasi penganjuran kursus.
Melalui KAH, peserta bukan sahaja memperoleh ilmu asas sebagai persediaan ke Tanah Suci, tetapi juga dapat membina keyakinan serta kefahaman mendalam tentang perjalanan ibadah haji yang sebenar.
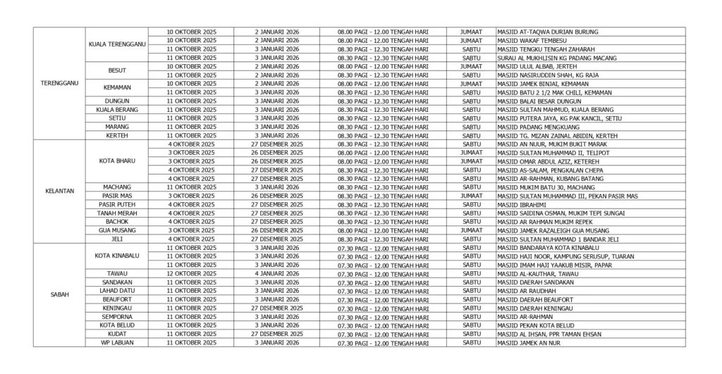
Senarai Lokasi Dan Jadual Pelaksanaan Kursus Asas Haji 2025/206 Di Seluruh Malaysia
Bagi yang berminat untuk sertai Kursus Asas Haji ini, anda boleh datang ke mana-mana lokasi yang dijalankan. Ianya berlangsung di seluruh Malaysia bermula dari Oktober 2025 hingga Januari 2026.
Berikut merupakan senarai lokasi dan jadual pelaksanaan Kursus Asas Haji 2025/2026 :






Info lanjut berkaitan Kursus Haji yang disediakan oleh pihak Tabung Haji (TH), anda boleh pergi ke laman web www.tabunghaji.gov.my/kursus-haji
Sumber Gambar : X/Faisal Rahim












